Skip to main content
  • ESP
  • ENG
Home

logo ministerio

Navegación principal

  • HOME
  • Science
    • Overview
    • Science Nuggets
  • Mission
    • Overview
    • Status and Milestones
    • Nuggets Tech
  • Community
    • Athena Community
    • Biographies
    • Job Opportunities
  • Activities
    • Activities Summary
    • Science Webinars
  • Resources
    • Brand
    • Newsletter Archive
    • Presentations
    • Publications
    • Simulation Tools
    • Repository
    • Science Nuggets
    • Tech Nuggets
  • Outreach
    • Athena Gallery
      • Mission
      • X-IFU
      • WFI
      • Artistic views
      • Nuggets
    • Outreach Material
    • 11 February
    • Vídeos
  • Conferences
    • Coming Conferences
    • 2022 Athena
    • 2022 EAS S5
    • 2021 EAS SS3
    • 2019 EWASS SS31
  • News
This is an artist’s impression of the X-IFU’s 2K Focal Plane Assembly

Athena/X-IFU Gallery

By measuring precisely the energy of the X-rays emitted

    Measurements of X-ray clusters' physical parameters

    29 Oct 2019
    Read more
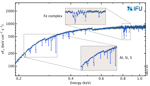
    The Athena X-IFU spectrum of the Fe group elements in 3C397

      The Athena X-IFU spectrum of the Fe group elements in 3C397

      29 Oct 2019
      Read more
      Simulations of the Phoenix cluster for a region of 50 arc second size adopting

        Simulations of the Phoenix cluster

        24 Oct 2019
        Read more
        Simulated X-IFU spectrum of a galaxy cluster

          Simulated X-IFU spectrum of a z = 1 galaxy cluster

          24 Jun 2019
          Read more
          Simulated 20 ks X-IFU spectra of Jupiter including Charge eXchange (CX)

            Simulated 20 ks X-IFU spectra of Jupiter

            29 May 2019
            Read more
            X-IFU simulated observation lasting only ~120 seconds of the Black Hole binary GRS1915+105

              X-IFU simulated observation lasting only ~120 seconds of the Black Hole binary GRS1915+105

              02 May 2019
              Read more
              A simulated X-IFU X-ray spectrum of a medium bright afterglow

                A simulated X-IFU X-ray spectrum of a medium bright afterglow

                02 May 2019
                Read more
                Comparison of the weak line sensitivity of Athena X-IFU and XRISM Resolve spectrometers

                  Comparison of the weak line sensitivity of Athena X-IFU and XRISM Resolve spectrometers

                  11 Jan 2019
                  Read more

                  Pagination

                  • First page «
                  • Previous page ‹‹
                  • Page 1
                  • Page 2
                  • Current page 3
                  • Page 4
                  • Page 5
                  • Next page ››
                  • Last page »

                  Menú del pie

                  • Cookies Policy
                  • Terms and Conditions
                  • Facebook
                  • Twitter
                  • Youtube
                  • LinkedIn