Pasar al contenido principal
ESP
ENG
Navegación principal
HOME
Ciencia
Sobre la ciencia de NewAthena
Nuggets Ciencia
Misión
Sobre la misión
Estado & hitos
Nuggets Tech
Comunidad
La comunidad científica de NewAthena
Biografías
Oportunidades de Trabajo
Actividades
Resumen actividades
Science webinars
Recursos
Marca
Archivo Boletín
Presentaciones
Publicaciones
Herramientas simulación
Repositorio
Nuggets Ciencia
Nuggets Tech
Divulgación
Galería
Misión
X-IFU
WFI
Representaciones Artísticas
Píldoras
Materiales
11 Febrero
Vídeos
Conferencias
Próximas conferencias
2022 Athena
2022 EAS S5
2021 EAS SS3
2019 EWASS SS31
Noticias
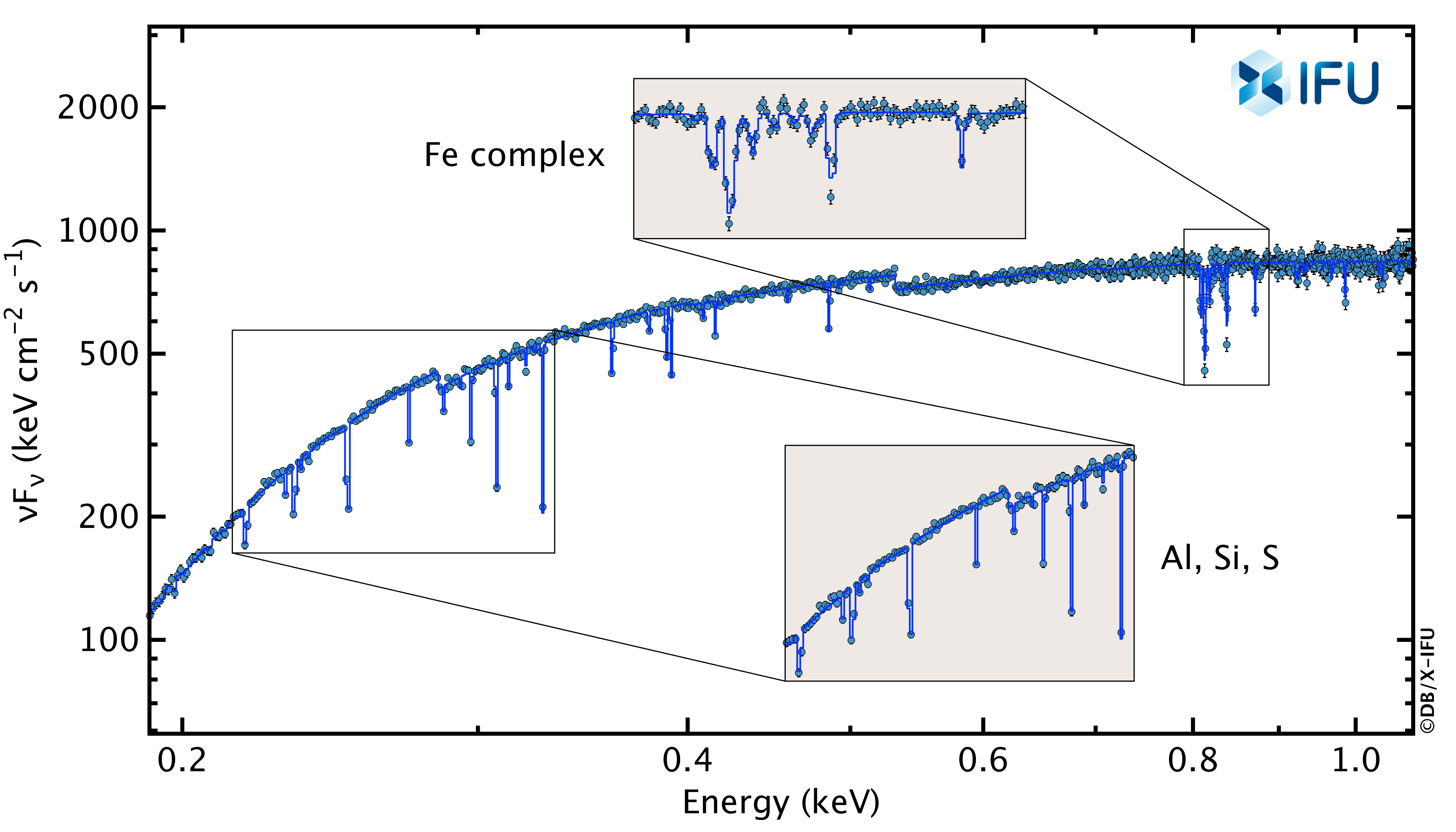
Simulated X-IFU X-ray spectrum of a medium bright afterglow
41
02 Mayo 2019