Pasar al contenido principal
  • ESP
  • ENG
Inicio

logo ministerio

Navegación principal

  • HOME
  • Ciencia
    • Sobre la ciencia de NewAthena
    • Nuggets Ciencia
  • Misión
    • Sobre la misión
    • Estado & hitos
    • Nuggets Tech
  • Comunidad
    • La comunidad científica de NewAthena
    • Biografías
    • Oportunidades de Trabajo
  • Actividades
    • Resumen actividades
    • Science webinars
  • Recursos
    • Marca
    • Archivo Boletín
    • Presentaciones
    • Publicaciones
    • Herramientas simulación
    • Repositorio
    • Nuggets Ciencia
    • Nuggets Tech
  • Divulgación
    • Galería
      • Misión
      • X-IFU
      • WFI
      • Representaciones Artísticas
      • Píldoras
    • Materiales
    • 11 Febrero
    • Vídeos
  • Conferencias
    • Próximas conferencias
    • 2022 Athena
    • 2022 EAS S5
    • 2021 EAS SS3
    • 2019 EWASS SS31
  • Noticias
This is an artist’s impression of the X-IFU’s 2K Focal Plane Assembly

Galería Athena/X-IFU

By measuring precisely the energy of the X-rays emitted

    Measurements of X-ray clusters' physical parameters

    29 Oct 2019
    Leer más +
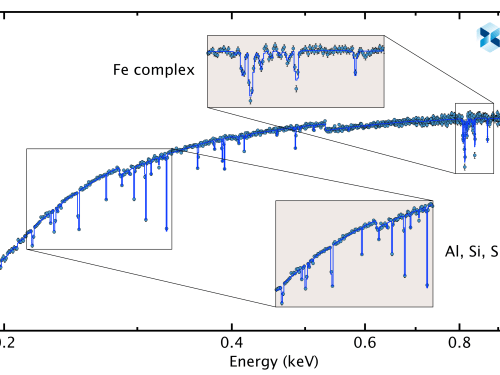
    The Athena X-IFU spectrum of the Fe group elements in 3C397

      The Athena X-IFU spectrum of the Fe group elements in 3C397

      29 Oct 2019
      Leer más +
      Simulations of the Phoenix cluster for a region of 50 arc second size adopting

        Simulations of the Phoenix cluster

        24 Oct 2019
        Leer más +
        Simulated X-IFU spectrum of a galaxy cluster

          Simulated X-IFU spectrum of a z = 1 galaxy cluster

          24 Jun 2019
          Leer más +
          Simulated 20 ks X-IFU spectra of Jupiter including Charge  eXchange (CX)

            Simulated 20 ks X-IFU spectra of Jupiter

            29 Mayo 2019
            Leer más +
            X-IFU simulated observation lasting only ~120 seconds of the Black Hole binary GRS1915+105

              X-IFU simulated observation lasting only ~120 seconds of the Black Hole binary GRS1915+105

              02 Mayo 2019
              Leer más +
              A simulated X-IFU X-ray spectrum of a medium bright

                A simulated X-IFU X-ray spectrum of a medium bright afterglow

                02 Mayo 2019
                Leer más +
                Comparison of the weak line sensitivity of Athena X-IFU and XRISM Resolve spectrometers

                  Comparison of the weak line sensitivity of Athena X-IFU and XRISM Resolve spectrometers

                  11 Ene 2019
                  Leer más +

                  Paginación

                  • Primera página «
                  • Página anterior ‹‹
                  • Page 1
                  • Page 2
                  • Página actual 3
                  • Page 4
                  • Page 5
                  • Siguiente página ››
                  • Última página »

                  Menú del pie

                  • Política de cookies
                  • Terms and Conditions
                  • Facebook
                  • Twitter
                  • Youtube
                  • LinkedIn